很可惜 T 。T 您现在还不是作者身份,不能自主发稿哦~
如有投稿需求,请把文章发送到邮箱tougao@appcpx.com,一经录用会有专人和您联系
咨询如何成为春羽作者请联系:鸟哥笔记小羽毛(ngbjxym)
作者:DataEye研究院
未来半年,哪些细分赛道会成为吸金爆点?
普通从业者如何精准卡位不踩坑?哪些岗位是真刚需、薪资翻倍?
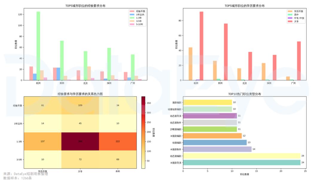
DataEye短剧观察抓取了某招聘平台上的1266条全国漫剧相关的职位招聘记录,涵盖5个核心维度:城市、职位、地区、经验要求、学历要求,真实数据拆解漫剧赛道的产业格局、机会窗口与人才刚需!
从目前已经发布了的动漫政策来看,除了七猫、书旗、知乎、红果等企业均有进行漫剧相关的岗位招聘外,阅文、网易、字节跳动等头部互联网公司也在进行招兵买马。
其中字节跳动释放的岗位最多,共18个职位类型,岗位内容主要集中在策略运营和产品运营上,仅少数涉及内容创作,体现其“平台型企业”的流量运营优势,岗位主要base北京,部分在成都和广州。
阅文和七猫两大内容普通平台则主打“IP商业化落地”,岗位集中于商务渠道与内容主创上,体现其 “网络小说IP漫改+渠道发行” 的核心优势。释放出的岗位主要包括发行商务、漫剧渠道专员、以及漫剧主创。
而网易主要招聘的岗位主要集中于内容创作方面,岗位包括AI漫剧主编、游戏漫剧主编、沙雕漫主编等。
值得关注的是,网易是目前少数考虑将游戏IP与漫剧进行结合的短剧厂商。此前网易的《逆水寒》编辑器和雷火映画动画编辑器均开放漫剧合作政策。网易旗下的网易羚羊和大宋制片厂近年来在漫剧方面表现也较为出色。
短剧垂类企业同样不甘示弱。诸云科技、麦芽传媒、漫森、九州文化、酱油等头部公司纷纷入局,深耕AI漫剧、动态漫、沙雕漫的制作与运营等细分环节。这些企业以“灵活度+低成本”承接中小客户需求,成为产业链的 “重要补充力量”,岗位门槛相对宽松,成为新人入行的重要通道。
内容生产是核心缺口,AI技能成刚需,薪资水平呈现明显分层。
从抓取的1266条职位招聘数据来看,AI漫剧和动态漫相关的职位占比均超23%,是目前核心的漫剧业务类型。
从岗位需求发布来看,核心生产类岗位合计占比超70%,漫剧制作岗需求最高,占278个,其次是编剧占197个,导演占131个,剪辑占112个、动画师占107个,印证漫剧赛道仍处于“内容供给缺口期”,基础创作人才是招聘核心。

而在功能支撑类岗位方面,需求量最大的是广告投放运营类岗位,占71个,其次是主编占44个,编导占37个,设计师和分镜师各占32个和29个,版权商务等岗位补齐产业链短板,其中投放运营岗位高度集中于广州、深圳和北京,合53席,占比达74.6%,这与短剧的岗位城市分布也高度契合。
在经验要求方面,呈现明显的集中化特征,近80%岗位面向3年以下经验者。其中,1-3年工作经验的岗位有755个,占比达59.6%,不限经验的岗位占229个。

从学历要求方面来看,近半数的岗位只需要大专学历,本科和学历不限的岗位分别占28%和20%,体现“能力优先于学历”的招聘导向。

行业人才梯队以年轻人为主,岗位普遍要求有短剧制作或小说的经验。主要因为漫剧与短剧、小说的叙事逻辑高度相通,可降低人才培养成本。
而从薪资来看,一线城市和新一线城市的大部分漫剧岗位薪资在10K-15K之间,超头部的企业核心岗位薪资可达20k以上,部分企业甚至开出了最高“55K/月+14薪”的薪酬。
值得关注的是,除了头部企业对该赛道人才开出较高薪酬以外,集中在二三线城市的其他中型短剧企业的漫剧岗位薪资在6-8K。
在尝试开拓漫剧业务时,均持较为保守态度,对于漫剧人才的预算投入并不高。以四月传媒为例,对于真人短剧制作的薪资投入在8-15K,而AI动画师或漫剧导演,则在4-10k。
在地区方面,关联公司岗位数最多的是杭州、郑州、北京,分别是189家、128家和104家。不同岗位类型呈现明显的地域集聚特征,形成“生产、运营、研发”的差异化布局。

依托互联网生态和成本优势,杭州以189家关联企业位居岗位数榜首,成为当之无愧的“漫剧制作第一城”。
在“漫剧制作”这一岗位中,杭州就独占43家,分镜师、动画设计师等岗位需求量也稳居全国第一。这里聚集了网易等头部企业的内容创作团队,以及大量中小型制作公司,形成规模化的内容生产集群。
郑州、重庆、西安、武汉等地成为次级内容生产基地,主要承接剪辑、动画制作等基础业务,与短剧的承制分布大致趋同。其中郑州更是凭借128家企业岗位数,位居全国第二。这一现象的核心原因的是,不少短剧制作方正在拓展漫剧业务,形成“短剧+漫剧”的双业务布局,带动当地相关岗位需求增长。
广州、深圳、北京主导流量变现环节,在投放运营岗位中合计占比 74.6%。这些城市依托字节跳动、七猫等平台的区域总部,聚焦信息流投放、用户增长等“流量驱动型”岗位,是漫剧行业的盈利核心区,对运营人才的“数据解读+投流优化”能力要求极高。
深圳依托强大的互联网技术生态,成为漫剧赛道的“技术创新策源地”。以漫剧APP研发、AI工具训练为主的产品经理和AI训练师等岗位超40个,85%以上集中在深圳,核心聚焦AI漫剧工具、分发平台的研发,技术型人才在这里拥有广阔发展空间。
版权商务类岗位主要分布在上海、浙江,贴合阅文、网易、书旗、九州等内容企业的IP商业化需求,核心对接影视、游戏等跨领域合作资源,对人才的“IP运营+版权交易”能力要求突出。
综合1266条招聘数据的核心要求,2025年漫剧行业对人才的能力需求已形成清晰标准,“技术赋能+商业思维”成为核心竞争力。
AI漫剧主编、AI生图师等岗位占比持续提升,且普遍要求会使用ComfyUI、AI提示词编写等AI工具,以及AI训练师岗位、AI漫剧编剧等岗位的需求出现,印证了“AI+漫剧”的技术融合趋势。
部分企业通过提供实习转正机制储备新鲜血液。在实习生储备人才方面,23个实习生岗位均要求“有使用AI工具的能力、能快速出片、具备网感”,实习生薪资普遍在3K-4K/月。
一方面说明行业对于“内容创作+AI技术”的复合型人才缺口较大,准入门槛低,另一方面也说明企业对该赛道的长期看好,愿意培养更多人才。
相较于短剧初期侧重内容制作岗位的招聘逻辑,漫剧赛道从起步阶段就高度关注 IP的商业化与价值延长。除了将小说、游戏 IP 延伸至漫剧领域,上海、广州等地已出现二次元周边、IP衍生物相关岗位招聘,标志着漫剧赛道正从 “内容本身” 向 “IP商业化延伸” 横向扩张。
这意味着,2025年的漫剧人才不仅要具备出色的创作能力,更要理解IP全链路商业化逻辑,能参与 IP授权、跨领域合作等业务,为 IP生命周期价值提升提供支撑。
2025年,无论是想入局的新人,还是寻求转型的从业者,聚焦核心能力打磨、找准城市与岗位定位,方能在这场漫剧人才争夺战中抢占先机。而对于企业而言,如何平衡人才成本与业务探索、搭建完善的人才培养体系,将成为决定其在漫剧赛道竞争力的关键因素。
本文为作者独立观点,不代表鸟哥笔记立场,未经允许不得转载。
《鸟哥笔记版权及免责申明》 如对文章、图片、字体等版权有疑问,请点击 反馈举报
Powered by QINGMOB PTE. LTD. © 2010-2025 上海青墨信息科技有限公司 沪ICP备2021034055号-6

我们致力于提供一个高质量内容的交流平台。为落实国家互联网信息办公室“依法管网、依法办网、依法上网”的要求,为完善跟帖评论自律管理,为了保护用户创造的内容、维护开放、真实、专业的平台氛围,我们团队将依据本公约中的条款对注册用户和发布在本平台的内容进行管理。平台鼓励用户创作、发布优质内容,同时也将采取必要措施管理违法、侵权或有其他不良影响的网络信息。
一、根据《网络信息内容生态治理规定》《中华人民共和国未成年人保护法》等法律法规,对以下违法、不良信息或存在危害的行为进行处理。
1. 违反法律法规的信息,主要表现为:
1)反对宪法所确定的基本原则;
2)危害国家安全,泄露国家秘密,颠覆国家政权,破坏国家统一,损害国家荣誉和利益;
3)侮辱、滥用英烈形象,歪曲、丑化、亵渎、否定英雄烈士事迹和精神,以侮辱、诽谤或者其他方式侵害英雄烈士的姓名、肖像、名誉、荣誉;
4)宣扬恐怖主义、极端主义或者煽动实施恐怖活动、极端主义活动;
5)煽动民族仇恨、民族歧视,破坏民族团结;
6)破坏国家宗教政策,宣扬邪教和封建迷信;
7)散布谣言,扰乱社会秩序,破坏社会稳定;
8)宣扬淫秽、色情、赌博、暴力、凶杀、恐怖或者教唆犯罪;
9)煽动非法集会、结社、游行、示威、聚众扰乱社会秩序;
10)侮辱或者诽谤他人,侵害他人名誉、隐私和其他合法权益;
11)通过网络以文字、图片、音视频等形式,对未成年人实施侮辱、诽谤、威胁或者恶意损害未成年人形象进行网络欺凌的;
12)危害未成年人身心健康的;
13)含有法律、行政法规禁止的其他内容;
2. 不友善:不尊重用户及其所贡献内容的信息或行为。主要表现为:
1)轻蔑:贬低、轻视他人及其劳动成果;
2)诽谤:捏造、散布虚假事实,损害他人名誉;
3)嘲讽:以比喻、夸张、侮辱性的手法对他人或其行为进行揭露或描述,以此来激怒他人;
4)挑衅:以不友好的方式激怒他人,意图使对方对自己的言论作出回应,蓄意制造事端;
5)羞辱:贬低他人的能力、行为、生理或身份特征,让对方难堪;
6)谩骂:以不文明的语言对他人进行负面评价;
7)歧视:煽动人群歧视、地域歧视等,针对他人的民族、种族、宗教、性取向、性别、年龄、地域、生理特征等身份或者归类的攻击;
8)威胁:许诺以不良的后果来迫使他人服从自己的意志;
3. 发布垃圾广告信息:以推广曝光为目的,发布影响用户体验、扰乱本网站秩序的内容,或进行相关行为。主要表现为:
1)多次发布包含售卖产品、提供服务、宣传推广内容的垃圾广告。包括但不限于以下几种形式:
2)单个帐号多次发布包含垃圾广告的内容;
3)多个广告帐号互相配合发布、传播包含垃圾广告的内容;
4)多次发布包含欺骗性外链的内容,如未注明的淘宝客链接、跳转网站等,诱骗用户点击链接
5)发布大量包含推广链接、产品、品牌等内容获取搜索引擎中的不正当曝光;
6)购买或出售帐号之间虚假地互动,发布干扰网站秩序的推广内容及相关交易。
7)发布包含欺骗性的恶意营销内容,如通过伪造经历、冒充他人等方式进行恶意营销;
8)使用特殊符号、图片等方式规避垃圾广告内容审核的广告内容。
4. 色情低俗信息,主要表现为:
1)包含自己或他人性经验的细节描述或露骨的感受描述;
2)涉及色情段子、两性笑话的低俗内容;
3)配图、头图中包含庸俗或挑逗性图片的内容;
4)带有性暗示、性挑逗等易使人产生性联想;
5)展现血腥、惊悚、残忍等致人身心不适;
6)炒作绯闻、丑闻、劣迹等;
7)宣扬低俗、庸俗、媚俗内容。
5. 不实信息,主要表现为:
1)可能存在事实性错误或者造谣等内容;
2)存在事实夸大、伪造虚假经历等误导他人的内容;
3)伪造身份、冒充他人,通过头像、用户名等个人信息暗示自己具有特定身份,或与特定机构或个人存在关联。
6. 传播封建迷信,主要表现为:
1)找人算命、测字、占卜、解梦、化解厄运、使用迷信方式治病;
2)求推荐算命看相大师;
3)针对具体风水等问题进行求助或咨询;
4)问自己或他人的八字、六爻、星盘、手相、面相、五行缺失,包括通过占卜方法问婚姻、前程、运势,东西宠物丢了能不能找回、取名改名等;
7. 文章标题党,主要表现为:
1)以各种夸张、猎奇、不合常理的表现手法等行为来诱导用户;
2)内容与标题之间存在严重不实或者原意扭曲;
3)使用夸张标题,内容与标题严重不符的。
8.「饭圈」乱象行为,主要表现为:
1)诱导未成年人应援集资、高额消费、投票打榜
2)粉丝互撕谩骂、拉踩引战、造谣攻击、人肉搜索、侵犯隐私
3)鼓动「饭圈」粉丝攀比炫富、奢靡享乐等行为
4)以号召粉丝、雇用网络水军、「养号」形式刷量控评等行为
5)通过「蹭热点」、制造话题等形式干扰舆论,影响传播秩序
9. 其他危害行为或内容,主要表现为:
1)可能引发未成年人模仿不安全行为和违反社会公德行为、诱导未成年人不良嗜好影响未成年人身心健康的;
2)不当评述自然灾害、重大事故等灾难的;
3)美化、粉饰侵略战争行为的;
4)法律、行政法规禁止,或可能对网络生态造成不良影响的其他内容。
二、违规处罚
本网站通过主动发现和接受用户举报两种方式收集违规行为信息。所有有意的降低内容质量、伤害平台氛围及欺凌未成年人或危害未成年人身心健康的行为都是不能容忍的。
当一个用户发布违规内容时,本网站将依据相关用户违规情节严重程度,对帐号进行禁言 1 天、7 天、15 天直至永久禁言或封停账号的处罚。当涉及欺凌未成年人、危害未成年人身心健康、通过作弊手段注册、使用帐号,或者滥用多个帐号发布违规内容时,本网站将加重处罚。
三、申诉
随着平台管理经验的不断丰富,本网站出于维护本网站氛围和秩序的目的,将不断完善本公约。
如果本网站用户对本网站基于本公约规定做出的处理有异议,可以通过「建议反馈」功能向本网站进行反馈。
(规则的最终解释权归属本网站所有)